yl8cc永利官网 - yl8cc永利线路检测中心
首页
公司概况
yl8cc永利官网简介
组织机构
党团建设
党组织概况
党建动态
学习园地
共青团工作
团队队伍
杰出人才
在职教师
兼职客座
人才培养
yl8cc永利官网是什么
研究生
yl8cc永利官网介绍
科学研究
科研概况
科研项目
科研成果
员工动态
测试平台
平台概况
开放共享
通知公告
员工之窗
员工会
员工名录
岁月留痕
安全管理
制度建设
安全动态
招生招聘
科研平台
招生信息
就业服务
人才招聘
当前位置:
首页
>
科学研究
>
科研成果
> 正文
科研成果
yl8cc永利线路检测中心张永红/刘晨江ACIE:电化学调控实现以二氧化碳为羧基源实现炔烃的发散性羧基化和氢羧基化反应
发布时间:2025-11-21
浏览量:
图1. TOC (
图片来源于ACIE
)
摘要:
Carboxylation and hydrocarboxylation of alkynes with CO
2
for the synthesis of value-added and versatile carboxylic acids are of great importance. However, harsh reaction conditions, poor selectivity, practicability, and sustainability have always restricted its application. Electrochemical synthesis has been considered as a practical and environmentally friendly organic synthesis strategy via a tunable redox process. Hence, herein,
an efficient electrochemical controllable divergent carboxylation and hydrocarboxylation of alkynes with CO
2
was achieved to overcome the limitation of traditional methods
.
Four kinds of arylpropiolic acid, cinnamic acid, fumaric acid, succinic acid, and their derivatives can be obtained with good selectivity by regulating substrates, solvents, and electrolytes.
The method features broad substrate scope, divergent transformation with good selectivity, scalability, additional reducing agent-, hydrogen donor-, metal-, and ligand-free conditions, which offer novel insights into electrochemically driven CO
2
fixation and alkyne functionalization.
研究背景:
图2. 研究背景及本策略 (
图片来源于ACIE
)
研究内容:
图3. 条件优化 (
图片来源于ACIE
)
图4. 炔烃的单羧基化和双羧基化反应底物拓展 (
图片来源于ACIE
)
图5. 炔烃的氢羧基化和两次氢羧基化反应底物拓展 (
图片来源于ACIE
)
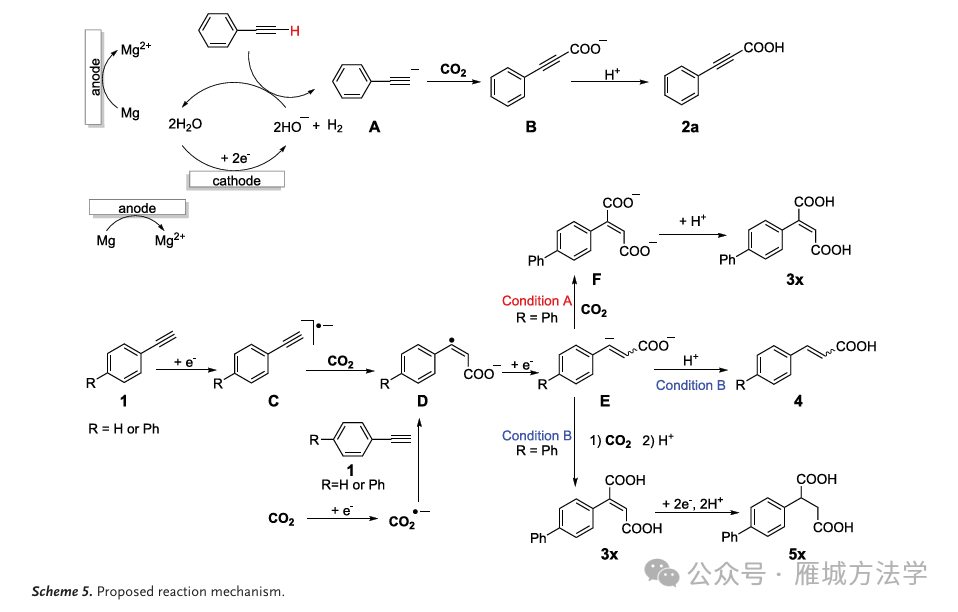
图6. 机理研究 (
图片来源于ACIE
)
图7. 可能的反应机理 (
图片来源于ACIE
)
总结:
In summary, we developed
an electrochemical controllable divergent carboxylation and hydrocarboxylation of alkynes with CO
2
under mild conditions.
The arylpropiolic acid, cinnamic acid, fumaric acid, and succinic acid derivatives were efficiently afforded with good yield and selectivity under the present electrochemical conditions.
The methods feature broad substrate scope, divergent transformation with good selectivity, scalability, under additional reducing agent , hydrogen donor-, metal-, ligand-free, and mild conditions.
The developed electrochemical carbon capture and divergent conversion strategy provides a new pathway for the high value utilization of CO
2
and enables the efficient preparation of acid intermediates for the synthesis of various natural products and pharmaceutical molecules.
文献信息:
Haomin Chen+, Xiuli Zhao+, Bin Wang, Ziren Chen, Fei Xue, Yu Xia, Shaofeng Wu,
Chenjiang Liu,*
and
Yonghong Zhang*
, Electrochemical Controllable Divergent Carboxylation and Hydrocarboxylation of Alkynes with CO
2
,
Angew. Chem. Int. Ed.
,
2025
, e20335.
上一篇:
yl8cc永利线路检测中心Small:聚吡咯诱导硫空位的Ag₂S-PPy-CA三元复合材料实现高效CO₂电催化还原
下一篇:
喜报:公司获批13项国家自然科学基金项目